Труд и социальная защита
- ЗАНЯТОСТЬ НАСЕЛЕНИЯ
- ТРУД И ЗАРАБОТНАЯ ПЛАТА
- ОХАРАНА ТРУДА
- ПЕНСИОННОЕ ОБЕСПЕЧЕНИЕ
- ГОСУДАРСТВЕННАЯ АДРЕСНАЯ СОЦИАЛЬНАЯ ПОМОЩЬ
- СЕМЕЙНЫЙ КАПИТАЛ
- ДОМА-ИНТЕРНАТЫ
- КОНТРОЛЬНО-НАДЗОРНАЯ ДЕЯТЕЛЬНОСТЬ
- ПОСОБИЯ СЕМЬЯМ, ВОСПИТЫВАЮЩИМ ДЕТЕЙ
- ПОСОБИЕ ПО УХОДУ ЗА ИНВАЛИДОМ I ГРУППЫ, ЛИБО ЛИЦОМ, ДОСТИГШИМ 80-ЛЕТНЕГО ВОЗРАСТА
- БЕЗБАРЬЕРНАЯ СРЕДА
- К СВЕДЕНИЮ ГРАЖДАН
- РАБОЧАЯ ГРУППА
- ОБЩЕСТВЕННЫЕ ОБЪЕДИНЕНИЯ
|
![]() |
|
![]() |
![]() |
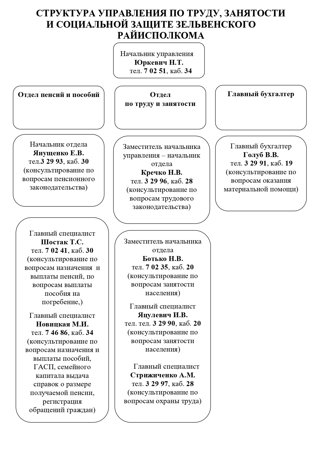
Управление по труду, занятости и социальной защите Зельвенского райисполкома
|
Начальник управления
Юркевич Наталья Тадеушевна
телефон: 8-01564-70251
Приемный день: среда 8.00 - 13.00 |
Заместитель начальника управления -
начальник отдела по труду и занятости:
телефон: 8-01564-32996
|
Адрес: 231940 г.п. Зельва ул. 17 сентября, 29
Телефон: 8-01564-74686, Факс: 8-01564-70235
Электронная почта: z-utzsz@grodno-region.by
|
Пенсионное обеспечение граждан, проживающих на территории г.п.Зельва и Зельвенского района; Выплата пособия на погребение пенсионеров/ |
Начальник отдела пенсий и пособий Янущенко Елена Васильевна Телефон: 8-01564-32993 Главный специалист отдела пенсий и пособий Шостак Татьяна Семеновна Телефоны: 8-01564-70241 |
Занятость населения;
Самозанятость,
переобучение и переподготовка безработных. |
Заместитель начальника отдела по труду и занятости Телефон: 8-01564-70235
Главный специалист отдела по труду и занятости Яцулевич Ирина Владимировна Телефон: 8-01564-32990
|
|
|
|
||
|
Назначение пособий семьям, воспитывающим детей, проживающих на территории г.п.Зельва и Зельвенского района, Выдача справок о размере пенсий и пособий; Регистрация обращений граждан. Оказание государственной адресной социальной помощи,
назначение семейного капитала и выдача удостоверения многодетной семьи. |
Главный специалист отдела пенсий и пособий Новицкая Мария Иосифовна Телефоны: 8-01564-7-4686 |
Выплата
пособия на погребение неработающим гражданам;
Оказание
материальной помощи.
|
Главный
бухгалтер Голуб
Валентина Владимировна Телефон: 8-01564-32991
|
|
Охрана труда. |
Главный специалист отдела по труду и занятости Стрижиченко Анастасия Михайловна Телефон: 8-01564-32997 |
|
|
|
Применение трудового законодательства |
Заместитель начальника управления - начальник отдела по труду и занятости Телефон: 8-01564-32996 |
График проведения «прямых телефонных линий»
Ежедневно проводится "горячая телефонная линия" по вопросам трудоустройства с 08.00 до 13.00 и с 14.00 до 17.00 по тел. 7-02-35
Вышестоящие государственные органы
Вышестоящими государственными органами являются:
Зельвенский районный исполнительный комитет (г.п. Зельва, ул. 17
Сентября, д. 29, понедельник-пятница: с 8.00 до 13.00, с 14.00 до 17.00)
Комитет по труду, занятости и социальной защите Гродненского областного
исполнительного комитета (г 230023, г. Гродно, ул. Ожешко, д. 3,с
8.30 до 17.30, перерыв с 13.00 до 14.00, выходные дни: суббота, воскресенье)
Органы системы Министерства труда и
социальной защиты
1. Министерство
труда и социальной защиты Республики Беларусь
г. Минск тел.(8-017) 206-37-96
проспект Победителей, 23 корп. 2
Режим работы с 9.00 до 18.00, перерыв с 13.00 до 14.00.
E-mail: mlsp@mintrud.gov.by
2. Комитет
по труду, занятости и социальной защите Гродненского облисполкома
г. Гродно тел.(8-0152) 72-20-67
здание облисполкома
ул. Ожешко, 3
Режим работы: с 8.30 до 17.30, перерыв с 13.00 до 14.00,
выходные дни: суббота, воскресенье
e-mail: komitet@trudgrodno.gov.by
3. Управление по труду, занятости и социальной защите Зельвенского
райисполкома
г.п. Зельва тел.(8-01564) 7-46-86
здание райисполкома, 2 этаж факс 7-02-35
ул. 17 сентября, 29
4. Государственное учреждение «Центр социального
обслуживания населения Зельвенского района»
г.п. Зельва тел.(факс)(8-01564) 3-24-86
ул. Советская, 14
5. Зельвенский районный сектор Гродненского областного управления Фонда
социальной защиты населения Министерства труда и социальной защиты
Республики Беларусь
г.п. Зельва тел.(8-01564) 7-28-26
ул. Победы, 1
6. Новогрудская межрайонная инспекция труда
г. Новогрудок тел.(8-01597) 61511
ул. Минская, 68/8
Управление по труду, занятости и социальной защите
Зельвенского районного исполнительного комитета (далее – управление) является
органом государственного управления, обеспечивающим реализацию государственной
политики в сфере труда, содействия занятости, социальной защиты населения,
демографической безопасности на территории Зельвенского района. Управление
является структурным подразделением Зельвенского районного исполнительного
комитета, входит в систему Министерства труда и социальной защиты Республики
Беларусь, в своей деятельности подчиняется райисполкому и комитету по труду,
занятости и социальной защите Гродненского областного исполнительного
комитета.
В своей деятельности управление руководствуется Конституцией Республики Беларусь, иными актами законодательства Республики Беларусь, Положением об управлении и осуществляет её во взаимодействии с другими органами государственного управления, местными исполнительными и распорядительными органами, общественными организациями (объединениями) и международными организациями.
Основными задачами управления являются:
- реализация государственной политики в социально-трудовой сфере, включая комплексное решение вопросов оплаты труда, условий и охраны труда, государственного пенсионного обеспечения, государственного социального обслуживания и социальной помощи, развитие социального партнерства, демографической безопасности, улучшения социально-экономических условий жизнедеятельности семьи, предоставления социальных гарантий населению, занятости населения на рынке труда, развития и использования трудовых ресурсов, повышения уровня жизни и доходов населения;
- обеспечение соблюдения законодательства
Республики Беларусь, регулирующего вопросы труда, занятости и социальной защиты
населения и анализ эффективности правоприменительной практики в этой области;
- проведение информационно-разъяснительной
работы по вопросам труда, занятости и социальной защиты.
- разработка и реализация совместно со
структурными подразделениями райисполкома государственной политики в области
занятости населения на рынке труда, развития и использования трудовых ресурсов;
- разработка прогнозных оценок состояния рынка
труда административно- территориальных единиц;
- разработка проектов программ занятости
населения и предложений по рациональному использованию трудовых ресурсов;
Принципы работы управления по труду, занятости и социальной защите Зельвенского райисполкома:
- Доступность
- Конфиденциальность
- Безвозмездность
- Индивидуальный подход
- Гуманность
- Компетентность
Уважаемые граждане!
обратиться в Управления по труду, занятости и социальной защиты Зельвенского районного исполнительного комитета можно несколькими способами:
- написать письмо и направить его по адресу: 231940 г. п. Зельва, 17 Сентября, 29;
- получить информационно-консультационную помощь по телефонам 7-46-86 понедельник-пятница с 8.00 - 13.00, 14.00 - 17.00, суббота 09.00 -14.00, воскресенье - выходной;
- записаться на прием к руководству управления по телефонам : 7-46-86 понедельник-пятница с 8.00 - 13.00, 14.00 - 17.00, суббота 09.00 -14.00, воскресенье - выходной;
- использовать сервис https://обращения.бел для написания и отправки письма
Граждане, в том числе индивидуальные предприниматели, их представители, представители юридических лиц реализуют право на подачу электронных обращений только посредством государственной единой (интегрированной) республиканской информационной системы учета и обработки обращений граждан и юридических лиц.
Данная система предназначена для подачи в государственные органы и иные государственные организации электронных обращений и получения ответов (уведомлений) на них.
Порядок рассмотрения письменных обращений граждан
Привлечение работника к работе в государственные праздники и праздничные дни
Установление неполного рабочего времени женщинам и иным лицам, имеющим семейные обязанности
Допускается ли планирование сверхурочной работы в графиках работ (сменности)?
О запросе сведений из единого государственного банка данных о правонарушениях
Обязан ли работник, которому объявлен простой присутствовать на рабочем месте?
Порядок изменения сроков выплаты заработной платы
Закон Республики Беларусь «Об обращениях граждан и юридических лиц»
Закон Республики Беларусь от 28 октября 2008 г. N 433-З «Об основах административных процедур»
О функционировании портала рейтинговой оценки организаций, оказывающих услуги, обеспечивающие жизнедеятельность населения, и (или) осуществляющих административные процедуры:
- с помощью поисковой строки;
- в перечне организаций;
- на карте (раздел "Рейтинг");
- по сферам жизнедеятельности и категориям.



















